• Предмет: Алгебра
  • Автор: soulknafe
  • Вопрос задан 2 года назад

СРОЧНО ПРОШУ ДАЮ 100 БАЛІВ

Приложения:

Ответы

Ответ дал: Alnadya
0

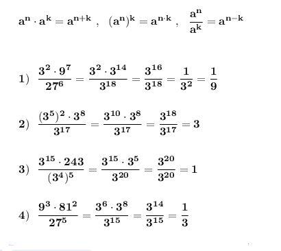
Решение.

Применяем свойства степеней .

\bf a^{n}\cdot a^{k}=a^{n+k}\ ,\ \ (a^{n})^{k}=a^{n\cdot k}\ ,\ \ \dfrac{a^{n}}{a^{k}}=a^{n-k}                                            

\bf \displaystyle 1)\ \ \frac{3^2\cdot 9^7}{27^6}=\frac{3^2\cdot 3^{14}}{3^{18}}=\frac{3^{16}}{3^{18}}=\frac{1}{3^2}=\frac{1}{9}\\\\\\2)\ \ \frac{(3^5)^2\cdot 3^8}{3^{17}}=\frac{3^{10}\cdot 3^8}{3^{17}}=\frac{3^{18}}{3^{17}}=3\\\\\\3)\ \ \frac{3^{15}\cdot 243}{(3^4)^5}=\frac{3^{15}\cdot 3^5}{3^{20}}=\frac{3^{20}}{3^{20}}=1\\\\\\4)\ \ \frac{9^3\cdot 81^2}{27^5}=\frac{3^6\cdot 3^8}{3^{15}}=\frac{3^{14}}{3^{15}}=\frac{1}{3}  

Ответ:   1 - Г , 2 - Б , 3 - А , 4 - В .

Приложения:
Вас заинтересует