• Предмет: Математика
  • Автор: ryufytf
  • Вопрос задан 2 года назад

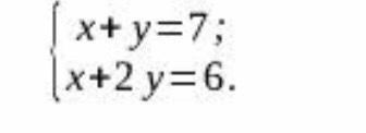
Розв’язати систему рівнянь.
1. Графічний метод
2. Метод підстановки
3. Метод додавання

Приложения:

Ответы

Ответ дал: ayagan1204
0

Ответ:

короче

х=8

у=-1

Я не знаю украинский по этому вот ответ

Я вообще казах

Я не понимаю что тут сказено

прости

Вас заинтересует