• Предмет: Алгебра
  • Автор: yezerovaj
  • Вопрос задан 1 год назад

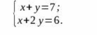
x+y=7

x+2=-5

Розв’язати систему рівнянь.

1. Графічний метод

2. Метод підстановки

3. Метод додавання

Приложения:

Ответы

Ответ дал: Alinka1713
0

Ответ:

х = 8

у = -1

Объяснение:

надеюсь помогла скажи єсли надо пошагово


yezerovaj: это метод додавання?
Alinka1713: безпонятия. я ришаю так и все
Alinka1713: штоби понять могу показать ришениє пошагово
Alinka1713: надо?
Вас заинтересует