• Предмет: Математика
  • Автор: Makc280
  • Вопрос задан 2 года назад

Помогите пожалуйста срочно надо

Приложения:

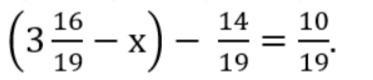
Simba2017: 3 16/19-x=10/19+14/19
Simba2017: 3 16/19-24/19=x
Simba2017: x=3 16/19-1 5/19
Simba2017: x=2 11/19
Makc280: Спасибо!

Ответы

Ответ дал: Makaka220
0

Ответ:

х=2 11/19

Пошаговое объяснение:

 ↓↓↓

Приложения:
Вас заинтересует