Ответы
Ответ дал:
1
Ответ:
на фото
Пошаговое объяснение:
на фото
Приложения:

Makc280:
Старалася :)
Ответ дал:
1
Пошаговое объяснение:
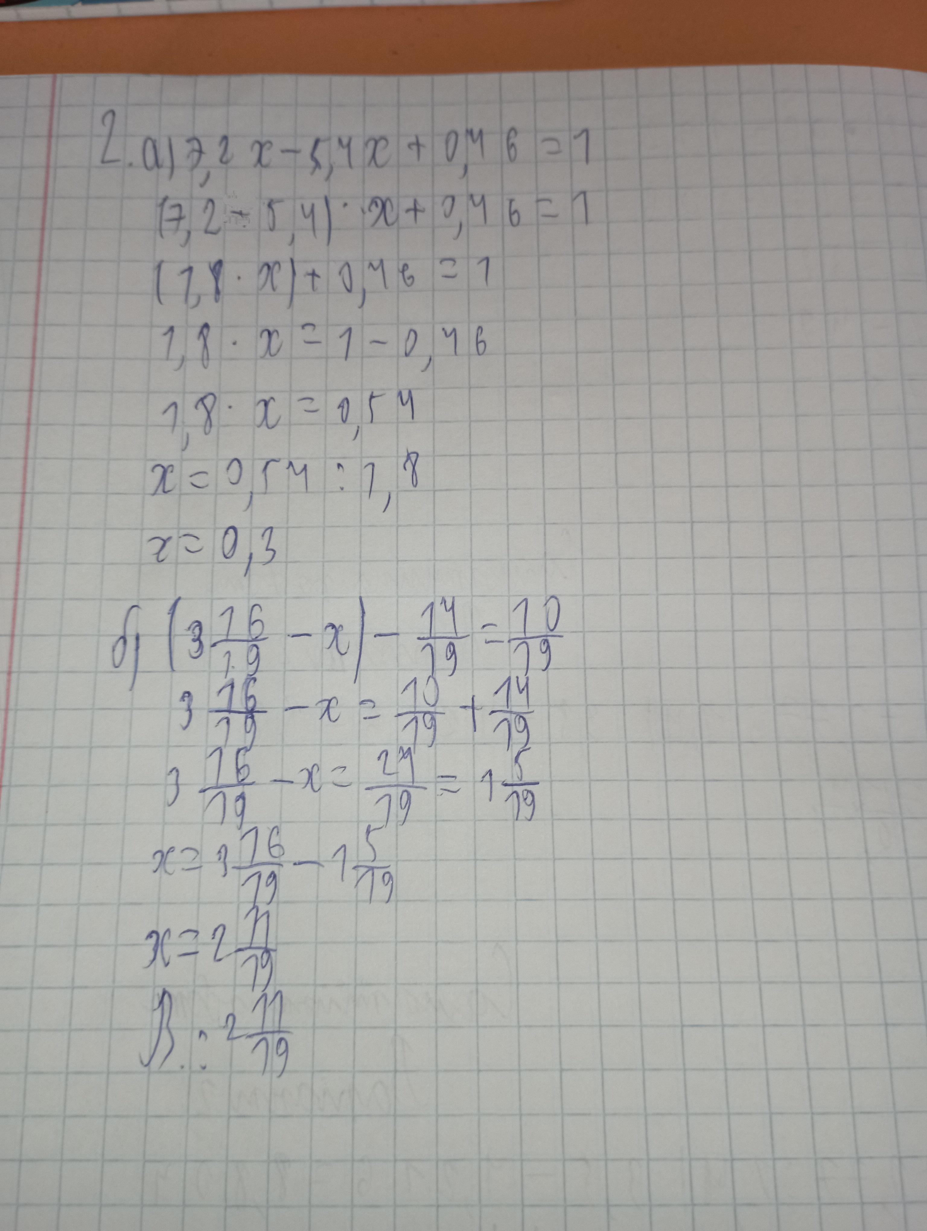
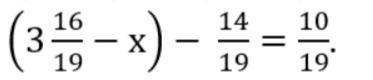
(3 16/19 - х) - 14/19 = 10/19
3 16/19 - х = 10/19 + 14/19
3 16/19 - х = 24/19
3 16/19 - х = 1 5/19
х = 3 16/19 - 1 5/19
х = 2 11/19
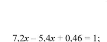
7,2х - 5,4х + 0,46 = 1
1,8х = 1 - 0,46
1,8х = 0,54
х = 0,54 : 1,8
х = 0,3
Вас заинтересует
1 год назад
1 год назад
3 года назад
3 года назад