• Предмет: Математика
  • Автор: likawea
  • Вопрос задан 2 года назад

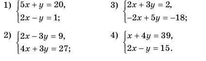
1461. Решите системы уравнений способом сложения:

Приложения:

Ответы

Ответ дал: secret312
1

Ответ:

Пошаговое объяснение:

1)

7x=21

x=3

y=5

2)

6x=36

x=6

y=1

3)8y=-16

y=-2

x=4

4)

x+4y=39

2x-y=15 l *4          

x+4y=39

8x-4y=60

9x=99

x=11

y=7

Ответ дал: sofialebed2909
1

Ответ:

7x=21

x=3

y=5

2)

6x=36

x=6

y=1

3)8y=-16

y=-2

x=4

4)

x+4y=39

2x-y=15 l *4

x+4y=39

8x-4y=60

9x=99

x=11

y=

Пошаговое объяснение:

Вас заинтересует