• Предмет: Математика
  • Автор: meowozing2
  • Вопрос задан 2 года назад

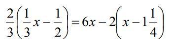
помогите срочно надо

Приложения:

Ответы

Ответ дал: tetamotatetyamotya
0

Ответ:

............

Пошаговое объяснение:

................

Приложения:
Вас заинтересует