• Предмет: Алгебра
  • Автор: Аноним
  • Вопрос задан 2 года назад

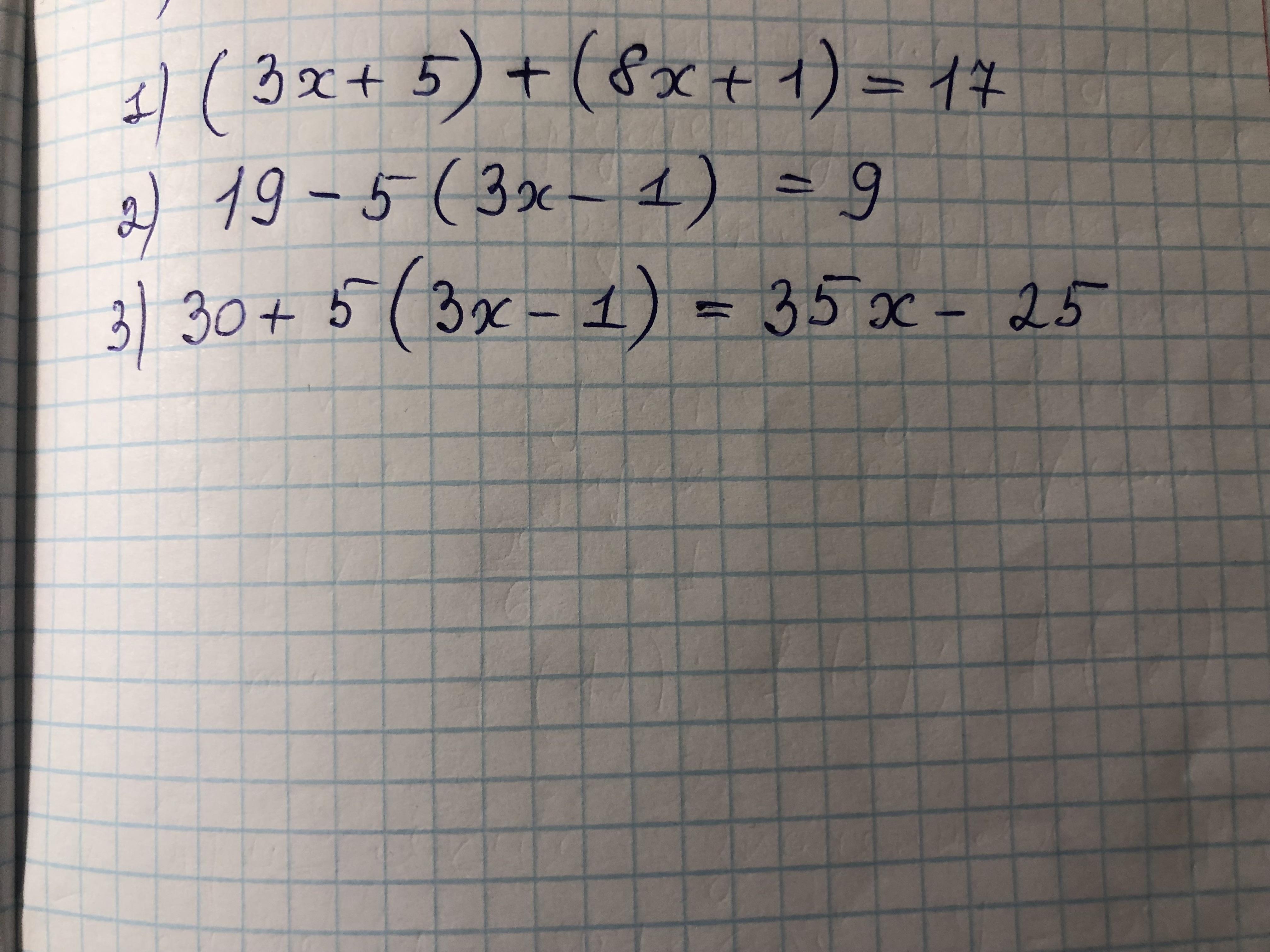
РЕШЫТЕ МОЛЮ ДАМ 50 БАЛЛОВ!!! КТО РЕШЫТ ПРАВИЛЬНО ПОМЕЧУ КАК САМЫЙ ЛУЧШЫЙ ОТВЕТ!!! ОБЯЗАТЕЛЬНО ВСЕ РАСПИСАТЬ!!!

Приложения:

Ответы

Ответ дал: anonimqwer58
0

Ответ:

1.X=1

2.X=1

3.X=5/2

Объяснение:

1.раскрываем скобочки в левой части уровнения

3x+5+8x+1 = 17

приводим подобные слагаемые в левой части уровнения

6 + 11x = 17

переносим свободные слогаемые(без x) из левой части в правую

11x=11

разделим обе части уровнения на 11

x = 11 / (11)

2.раскрываем скобочки в левой части уровнения

19-53x+51 = 9

приводим подобные слагаемые в левой части уровнения

24 - 15x = 9

переносим свободные слогаемые(без x) из левой части в правую

-15x= -15

разделим обе части уровнения на -15

x = -15 / (-15)

3.раскрываем скобочки в левой части уровнения

30+53x-51 = 35x-25

приводим подобные слагаемые в левой части уровнения

30+53x-51 = 35x-25

переносим свободные слогаемые(без x) из левой части в правую

15x=35x-50

переносим слогаемые с неизвестным x из правой части в левую

-20x=-50

разделим обе части уровнения на -20

x = -50 / (-20)

Вас заинтересует