• Предмет: Математика
  • Автор: marmaladik228
  • Вопрос задан 2 года назад

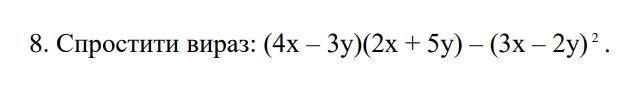
Срочно!!! Завдання на фото
Даю 30 балів

Приложения:

Ответы

Ответ дал: Bobik23598
1

Ответ:

(4x-3y)(2x + 5y) - (3x-2y)^2

8x^2+20xy-6xy-15y^2-(9x^2-12xy+4y^2)

8x^2+20xy-6xy-15^2-9x^2+12xy-4y^2

-x^2+26xy-19y^2

Вас заинтересует