• Предмет: Алгебра
  • Автор: melnikmaksim548
  • Вопрос задан 2 года назад

помогите даю 35 балов

Приложения:

Ответы

Ответ дал: Секержицкая
0

Объяснение:

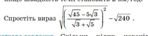
 \sqrt{ {( \frac{ \sqrt{45}  - 5 \sqrt{3} }{ \sqrt{3}  +  \sqrt{5} } )}^{2} }  -  \sqrt{240}  = -   \frac{3 \sqrt{5} - 5 \sqrt{3}  }{ \sqrt{3} +  \sqrt{5}  } - 4 \sqrt{15}  =  -  \frac{(3 \sqrt{5}  - 5 \sqrt{3})( \sqrt{3}  -  \sqrt{5} ) }{ - 2}  - 4 \sqrt{15}  =   - \frac{ - 15 - 15 + 8 \sqrt{15} }{ - 2}  =  - 15 + 4 \sqrt{15}  - 4 \sqrt{15}  =  - 15

Вас заинтересует