!!!ДАЮ 100 БАЛОВ!!!!СРОЧНО!!!
Скільки льоду початкова температура -20°С можна перетворити у воду температурою 80°С спаливши 5 кг сухих дров в печі з ККЛ 40%
Ответы
Ответ дал:
2
Ответ:
г
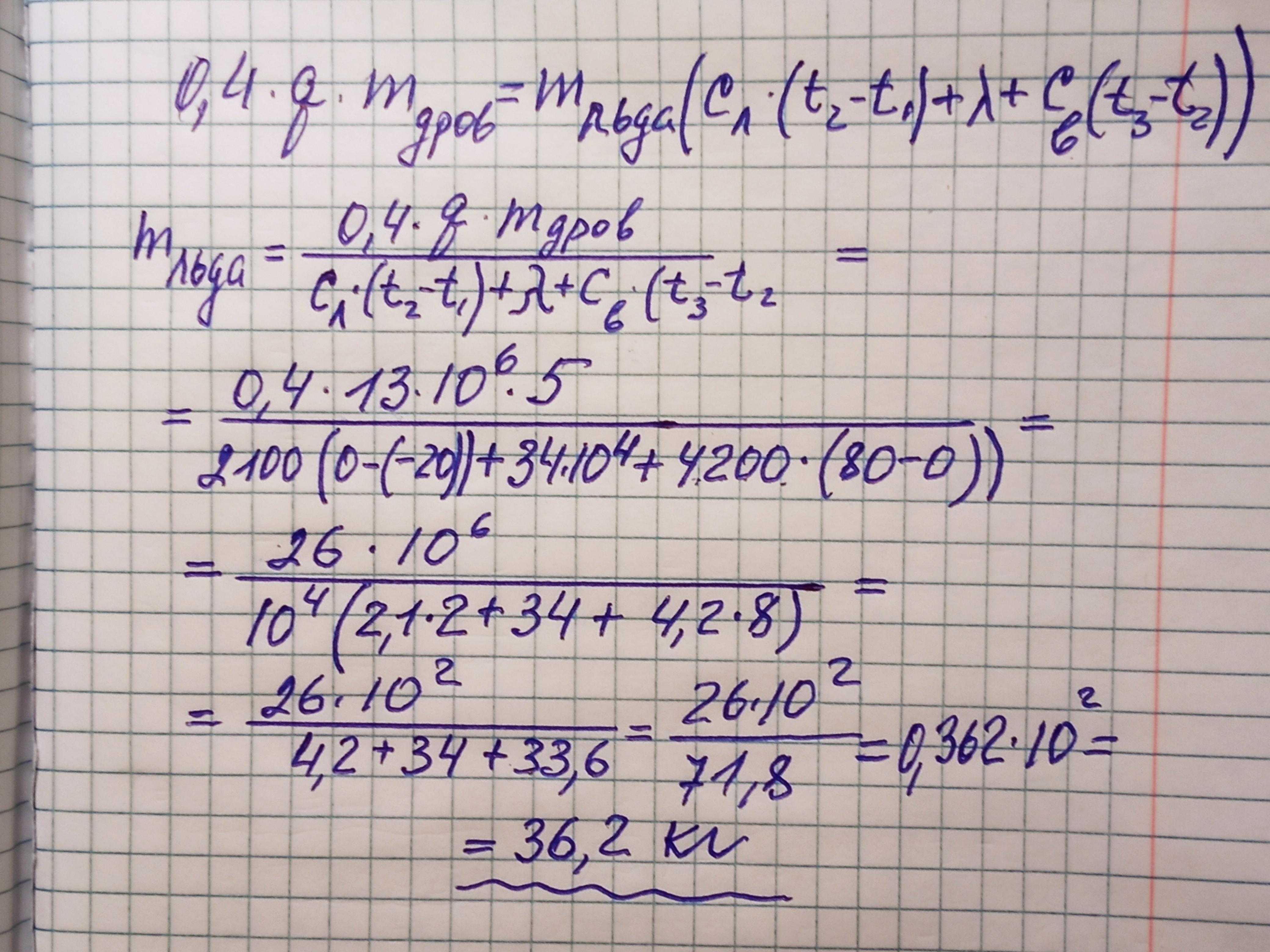
Объяснение:.....
Приложения:


siouxx:
спасибочки вам:))
Ответ дал:
2
Ответ:
Объяснение:
t1 = -20°С
t2 = 0°С
t3 = 80°С
m2 = 5 кг
η = 40% =0.4раза
с1 = 2100 Дж/кг*К удельная теплоемкость льда
с2 = 4200 Дж/кг*К удельная теплоемкость воды
λ = 3,4*10^5 Дж/кг удельная теплота плавления льда
q = 10^7 Дж/кг удельная теплота сжигания дров
m = ?
тепловой баланс
лед греем, лед плавим, воду греем.
Q1 + Q2 + Q3 = Q4*η
m*c1*(t2-t1) + m*λ + m*c2*(t3-t2) = m2*q*η
m = η*m2*q / (c1*(t2-t1) + λ + c2*(t3-t2)) =
=0,4*5*10^7 / (2100*(0+20) + 3,4*10^5 + 4200*(80-0)) =
= 27,8 кг.
Вас заинтересует
1 год назад
1 год назад
1 год назад
1 год назад
3 года назад