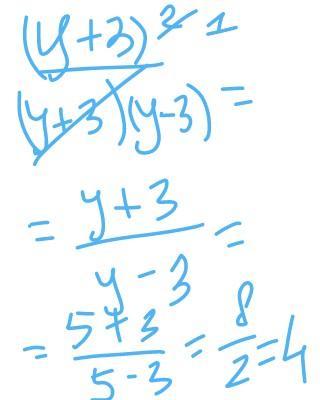
Упростите дробь: y²+6y+9/y²-9 найдите при y=5
СРОЧНО ПОЖАЛУЙСТА даю 40 баллов
telikmilk:
да,конечно
Ответы
Ответ дал:
1
Объяснение:
сверху-как квадрат сумы
снизу-різниця квадратів
Приложения:

Вас заинтересует
1 год назад
1 год назад
1 год назад
1 год назад
3 года назад
8 лет назад