• Предмет: Математика
  • Автор: olegbogdanovich1998
  • Вопрос задан 2 года назад

допоможіть будь ласка ​

Приложения:

Ответы

Ответ дал: iwantbaalsomuch
2

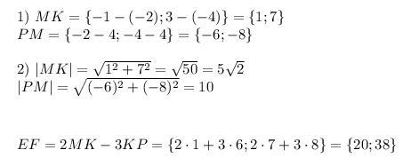
Відповідь:

Покрокове пояснення:

Приложения:

olegbogdanovich1998: дякую дуже виручили
Вас заинтересует