• Предмет: Алгебра
  • Автор: viviasms123
  • Вопрос задан 2 года назад

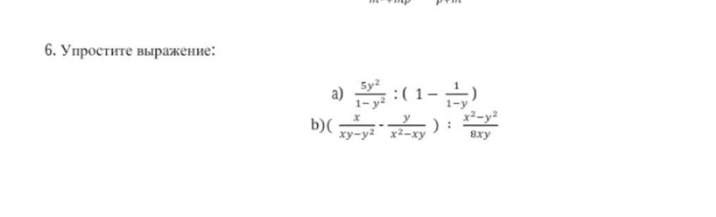
6. Упростите выражение: b) ( 5y² 1-y² (1- ху-уч х²-ху - 1-у ): x²-y2 8xy

срочно пожалуйста даю много баллов​

Приложения:

Ответы

Ответ дал: Mathiik
5

Відповідь:

Пояснення:

Надеюсь, помог

Приложения:
Вас заинтересует