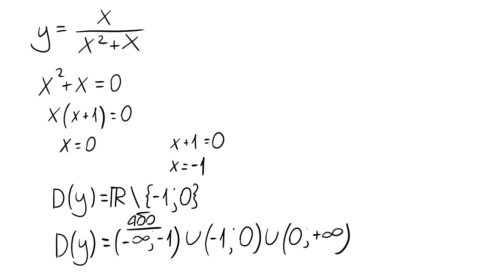
Знайти область визначення функції y=x:x^2+x
Аноним:
напиши свой инст, там решу
Ответы
Ответ дал:
1
Відповідь із рішенням на фото:
Приложения:

Вас заинтересует
1 год назад
1 год назад
1 год назад
1 год назад
3 года назад
3 года назад
8 лет назад