Ответы
Ответ дал:
2
Ответ:
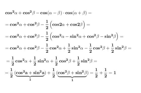
Упростить выражение .
Применим формулу произведения косинусов :
и формулу косинуса
двойного угла : . Учтём также чётность
функции косинус : .
Приложения:

Вас заинтересует
1 год назад
1 год назад
1 год назад
3 года назад
8 лет назад
8 лет назад