• Предмет: Алгебра
  • Автор: Lutik0ln
  • Вопрос задан 2 года назад

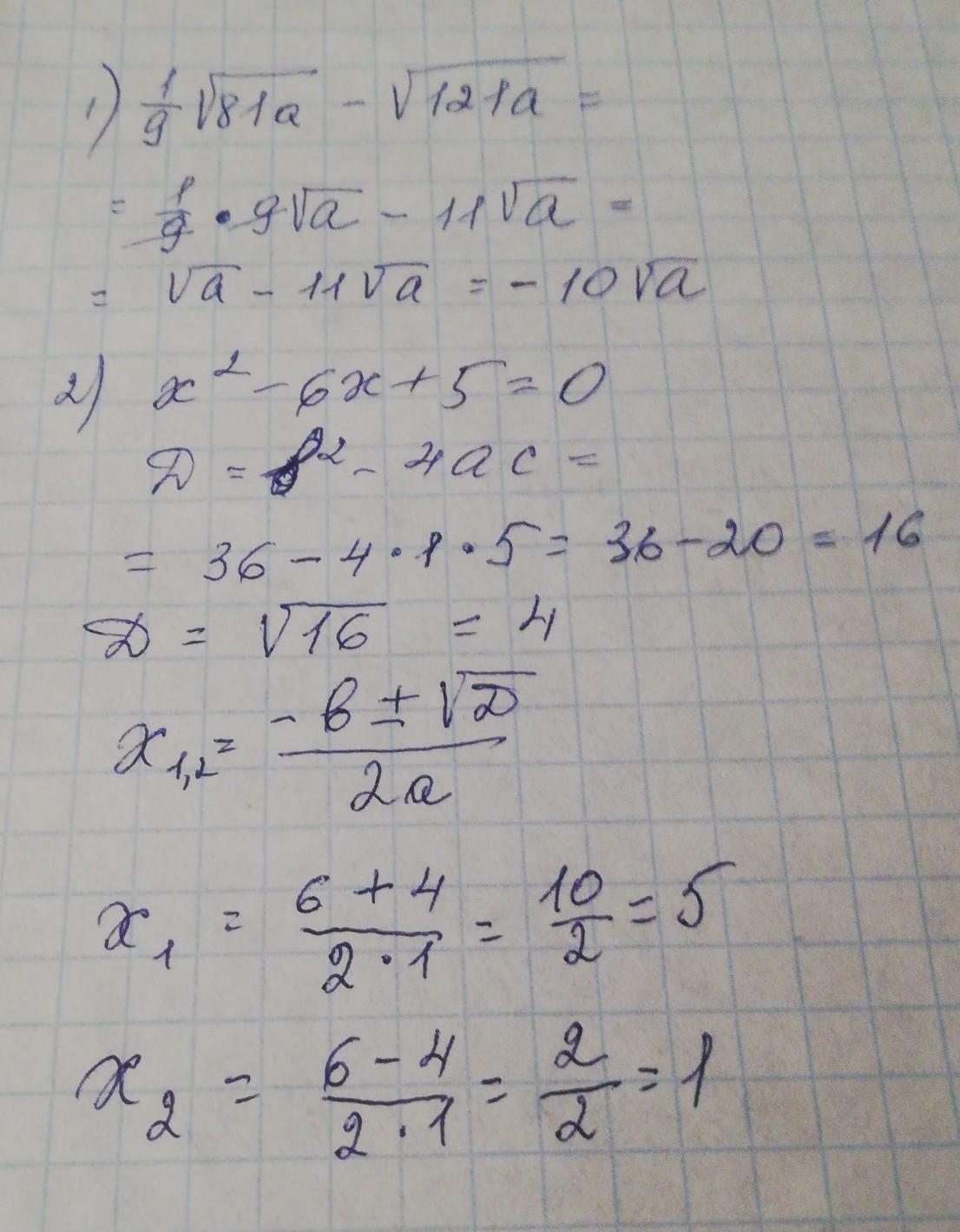
Расписать оба задания

Приложения:

Ответы

Ответ дал: larisaserova53
1

Ответ:

Смотри решение на фото..

Приложения:
Вас заинтересует