• Предмет: Алгебра
  • Автор: butterfly3421
  • Вопрос задан 2 года назад

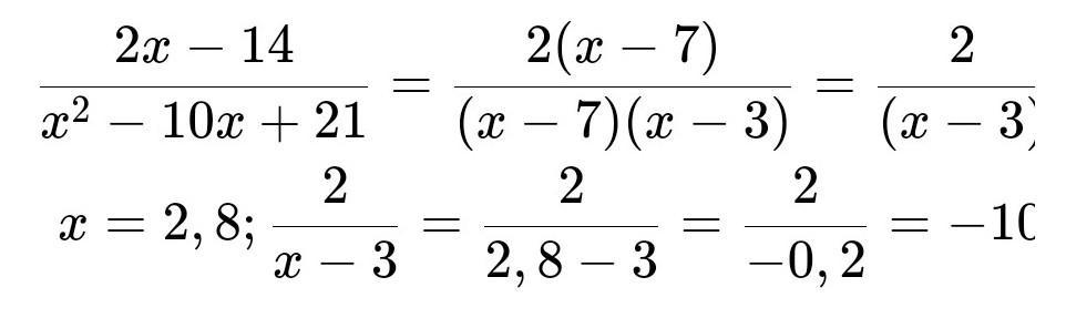
Скоротіть дріб

2х-14

______(дробь)

х²-10х+21

і обчисліть його значення при х=2,8

Ответы

Ответ дал: flimenmen1
1

Сподіваюсь відповідь правильна,чекаю 5 зірок.

Приложения:
Вас заинтересует