• Предмет: Математика
  • Автор: margoshastyn
  • Вопрос задан 2 года назад

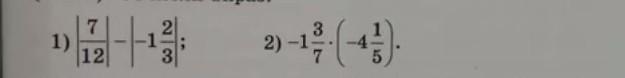
Обчисли вираз: дам 100 балів​

Приложения:

Ответы

Ответ дал: aarr04594
0

Відповідь: розв'язання завдання додаю

Приложения:
Вас заинтересует