• Предмет: Алгебра
  • Автор: daniakucher292
  • Вопрос задан 2 года назад

Допоможіть будь ласка . Знатки

Приложения:

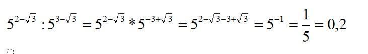
IUV: = 0,2

Ответы

Ответ дал: IUV
2

Відповідь:

0,2

Пояснення:

Приложения:

kimkarina953: добрый вечер. Не могли бы мне помочь с химией пожалуйста умоляюю
Вас заинтересует