• Предмет: Математика
  • Автор: salykovadilnaz850
  • Вопрос задан 2 года назад

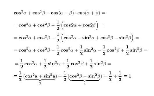
cos² a + cos² B - cos(a - B) cos(a + B)? ​

Ответы

Ответ дал: NNNLLL54
1

Ответ:

Применим формулы :

\bf cosa\cdot cosb=\dfrac{1}{2}\, (\ cos(a+b)+cos(a-b)\ )\ \ ,\\\\cos^2a+sin^2a=1\ \ ,\ \ cos(-a)=cosa                

Приложения:
Вас заинтересует