• Предмет: Алгебра
  • Автор: Аноним
  • Вопрос задан 2 года назад

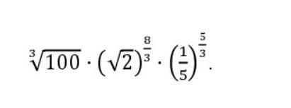
Знайдіть значення виразу, фото прикріпив

Приложения:

Ответы

Ответ дал: 1Manka1
0

Ответ:

Объяснение:на фото......

Приложения:

Аноним: спасибо вам огромное
Аноним: помогите с остальными вопросами к=если у вас есть такая возможность
Вас заинтересует