• Предмет: Алгебра
  • Автор: rapscallion
  • Вопрос задан 11 лет назад

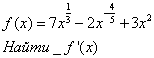
из данной функции найти f(x)

Приложения:

Ответы

Ответ дал: dtnth
0

f(x)=7x^(1/3)-2x^(4/5)+3x^2

 

f'(x)=(7x^(1/3)-2x^(4/5)+3x^2)'=7(x^(1/3))'-2(x^(4/5))'+3(x^2)'=

=7*1/3*x^(1/3-1)-2*4/5*x^(4/5-1)+3*2x=

=7/3x^(-2/3)-8/5x^(-1/5)+6x=7/(3x^(2/3)) -8/(5x^(1/5)) +6x

 

 

з.і. (x^n)'=n*x^(n-1)

x^(-n)=1/x^n

Вас заинтересует