• Предмет: Алгебра
  • Автор: Sven01
  • Вопрос задан 10 лет назад

Найдите наименьшее значение или наибольшее значение функции:
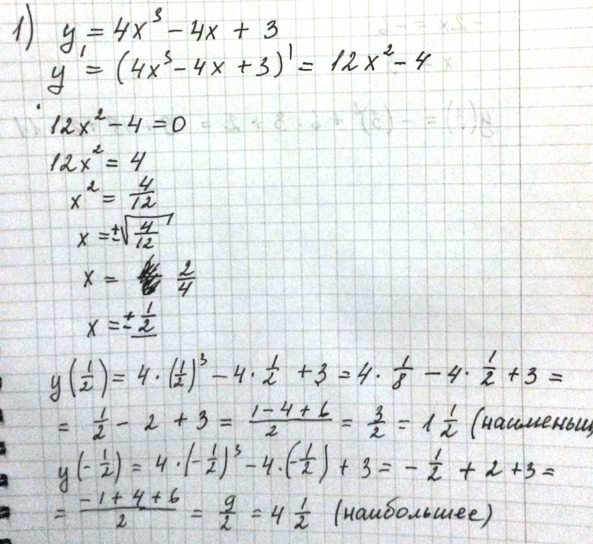
1)y=4x^3-4x+3
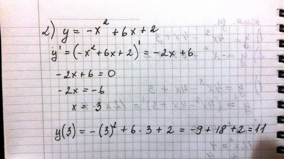
2)y=-x^2+6x+2
ПОМОГИТЕ РЕБЗЯ­

Ответы

Ответ дал: anastasiasch96
0
смотри во вложении, но там должен быть отрезок
Приложения:
Вас заинтересует