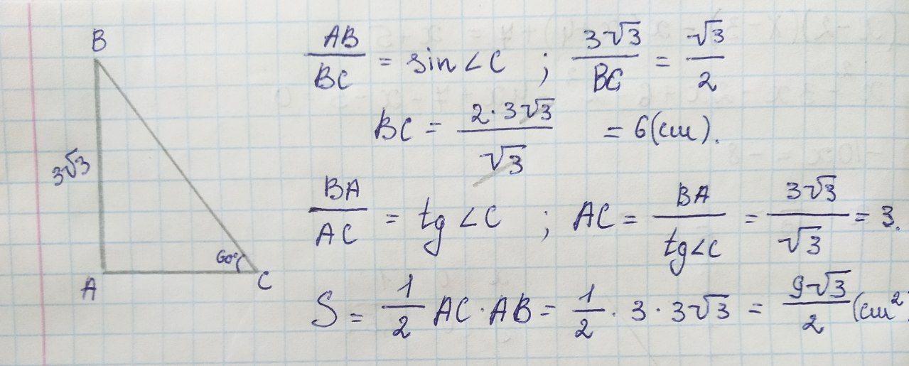
В прямокутнику катет протилежний куту 60° дорівнює 3√3. Знайти катет, гіпотенузу і S прямокутника
Ответы
Ответ дал:
0
Відповідь:
катет 3, гіпотенуза
Пояснення:
фото
Приложения:

Вас заинтересует
1 год назад
1 год назад
1 год назад
1 год назад
3 года назад
3 года назад
8 лет назад
8 лет назад