• Предмет: Математика
  • Автор: dianailcenko614
  • Вопрос задан 2 года назад

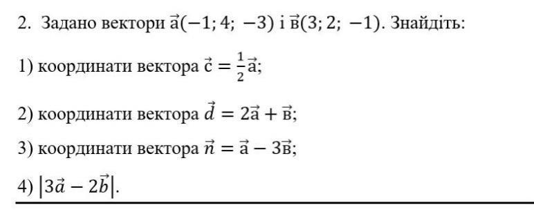
Допоможіть будь ласка,даю 100 балів

Приложения:

Ответы

Ответ дал: snejkabudakova
1

Решение задания приложено

Приложения:
Вас заинтересует