• Предмет: Математика
  • Автор: marigley7off
  • Вопрос задан 1 год назад

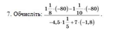
пожалуйста помогите срочно​

Приложения:

Ответы

Ответ дал: Bobik23598
1

Ответ:

1 1/8*(-80)-1 1/10*(-80)/-4,5*1 1/5+7*(-1,8)=-90-1 1/10*(-80)/-4,5*1 1/5+7*(-1,8)=-90-(-88)/-4,5*1 1/5+7*(-1,8)=-2/-4,5*1 1/5+7*(-1,8)=-2/-5,4+7*(-1,8)=-2/-5,4+(-12,6)=-2/-18=1/9

Вас заинтересует