• Предмет: Математика
  • Автор: pypsikksix
  • Вопрос задан 2 года назад

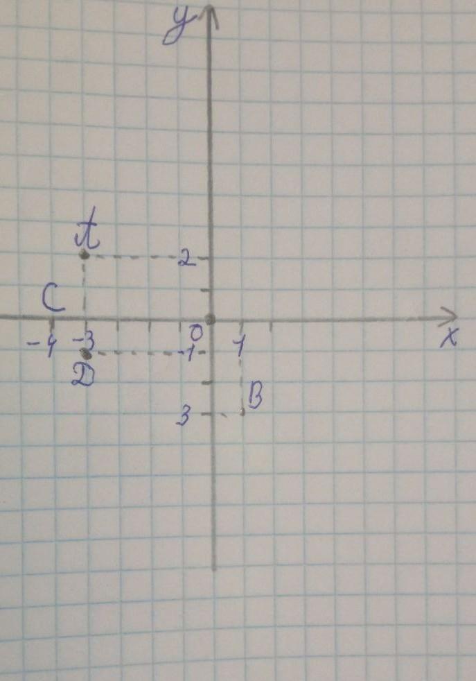
Побудувати на координатній площині точки A(-3; 2); B(1; -3); C(0; -4); Д(-3; -1)​

Ответы

Ответ дал: sachenko2008
1

Держи зайка,вот тебе ответ, я напишу ещё всякой фигни, потому-что нужно больше 20ти символов

Приложения:

pypsikksix: Ладно
pypsikksix: Спасибо❤️
Вас заинтересует