Ответы
Ответ дал:
0
Пошаговое объяснение:
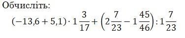
Смотри решение в прикреплённом файле
Приложения:

Вас заинтересует
1 год назад
1 год назад
1 год назад
1 год назад
3 года назад
3 года назад
8 лет назад