• Предмет: Математика
  • Автор: asevna20
  • Вопрос задан 2 года назад

дуже потрібна допомга!​

Приложения:

Ответы

Ответ дал: ronaldoivan
1
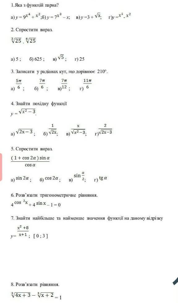
1. а
2.а
3. б
4. в
5. а
6 і 7 -
Приложения:
Вас заинтересует