• Предмет: Алгебра
  • Автор: pekka1096
  • Вопрос задан 2 года назад

ДОПОМОЖІТЬ БУДЬ ЛАСКА !!!!

Приложения:

Ответы

Ответ дал: lilyatomach
1

Ответ:

1) \pm\dfrac{\pi }{3} +2\pi k,~k\in\mathbb {Z};

2) (-1)^{k} \cdot  \dfrac{2\pi }{3} +\dfrac{2\pi }{3}+2\pi k,~k\in\mathbb {Z};

3)\dfrac{\pi k}{2} ,~k\in\mathbb {Z}.

Объяснение:

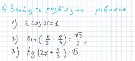
Решить уравнения.

1) 2cos x =1;\\

2) sin\left( \dfrac{x}{2} -\dfrac{\pi }{3}\right )=\dfrac{\sqrt{3} }{2} ;

3) tg\left(2x +\dfrac{\pi }{3}\right )=\sqrt{3} .

Решим уравнения.

1) 2cos x =1;\\\\cos x  =\dfrac{1}{2} ;\\\\x=\pm arccos \dfrac{1}{2} +2\pi k,~k\in\mathbb {Z};\\\\x=\pm\dfrac{\pi }{3} +2\pi k,~k\in\mathbb {Z}.

2) sin\left( \dfrac{x}{2} -\dfrac{\pi }{3}\right )=\dfrac{\sqrt{3} }{2} ;\\\\\dfrac{x}{2} -\dfrac{\pi }{3}= (-1)^{k} \cdot arcsin \dfrac{\sqrt{3} }{2} +\pi k,~k\in\mathbb {Z};\\\\\dfrac{x}{2} -\dfrac{\pi }{3}= (-1)^{k} \cdot  \dfrac{\pi }{3} +\pi k,~k\in\mathbb {Z};\\\\\dfrac{x}{2} = (-1)^{k} \cdot  \dfrac{\pi }{3} +\dfrac{\pi }{3}+\pi k,~k\in\mathbb {Z};\\\\x=(-1)^{k} \cdot  \dfrac{2\pi }{3} +\dfrac{2\pi }{3}+2\pi k,~k\in\mathbb {Z}.

3) tg\left(2x +\dfrac{\pi }{3}\right )=\sqrt{3} .\\\\2x +\dfrac{\pi }{3}=arctg \sqrt{3} +\pi k,~k\in\mathbb {Z};\\\\2x +\dfrac{\pi }{3}=\dfrac{\pi }{3} +\pi k,~k\in\mathbb {Z};\\\\2x =\dfrac{\pi }{3}-\dfrac{\pi }{3} +\pi k,~k\in\mathbb {Z};\\\\2x =\pi k,~k\in\mathbb {Z};\\\\x= \dfrac{\pi k}{2} ,~k\in\mathbb {Z}.

#SPJ1

Вас заинтересует