Ответы
Ответ дал:
0
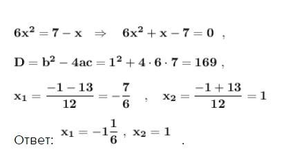
Решение.
Чтобы найти абсциссы точек пересечения параболы и
прямой , надо приравнять "игреки" :
Ответ: .
Приложения:

Вас заинтересует
1 год назад
1 год назад
3 года назад
3 года назад
8 лет назад
8 лет назад