• Предмет: Математика
  • Автор: matvejpotienko
  • Вопрос задан 2 года назад

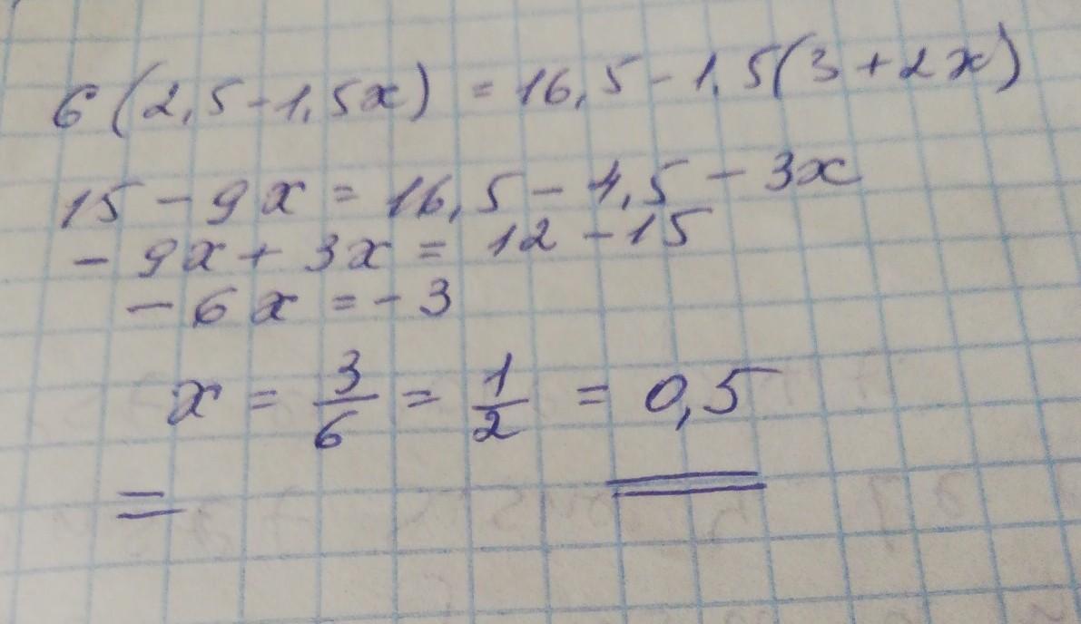
Розв'яжи рівняння 6(2,5-1,5X)=16,5-1,5(3+2X)

Ответы

Ответ дал: larisaserova53
2

Ответ:

Смотри решение на фото..

Приложения:

matvejpotienko: Топ спс
matvejpotienko: Топ
dimagubina726: Дякую
Вас заинтересует