Алгебра. Даю 100 балів.
потрібно вирішити завдання з максимальним поясненням щоб було усе зрозуміло будь ласка.
з дуже детальним поясненням будь ласка
Приложения:





Ответы
Ответ дал:
1
Объяснение:
1.
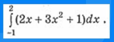
∫²(2x+3x²+1)dx=∫2xdx+∫3x²dx+∫1dx=
`¹
=(x²+x³+x)|²=2²+2³+2-((-1)²+(-1)³+(-1))=
`¹
=4+8+2-(1-1-1)=4+8+2+1=15
ответ: 15
2.
A(π/3;-1 1/2)
f(x)=sinx
F(x)=∫sinxdx= -cosx+C
-1 1/2= -cos(π/3)+C
-3/2= -1/2+C
C= -1
F(x)= -cosx-1
3.
а=3√5=√(9•5)=√45
b=5√2=√(25•2)=√50
c=7=√49
√45<√49<√50, значит
3√5<7<5√2, следовательно,
а<с<b
ludmilaksenija2005:
с 3 заданием не очень поятно
Вас заинтересует
1 год назад
1 год назад
3 года назад
3 года назад