• Предмет: Математика
  • Автор: 9rikan
  • Вопрос задан 10 лет назад

Помогите найти производную

Приложения:

Ответы

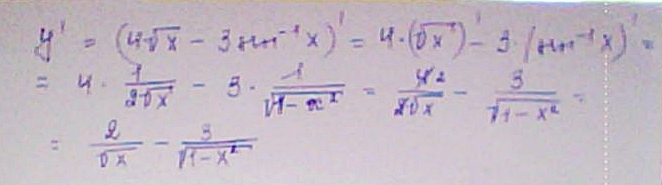
Ответ дал: dtnth
0
y=4sqrt{x}-3sin^{-1}(x)
y'=4*frac{1}{2sqrt{x}}-3*frac{sin^{-1-1}}{-1-1}*cos x=\\frac{2}{sqrt{x}}+frac{3cos x}{2sin^2 x}
Ответ дал: Mycroft
0
просто находишь по правилам нахождения производной
Приложения:
Вас заинтересует