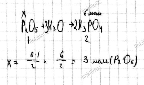
яку кількість фосфору 5 оксиду потрібно щоб при взаємодії з водою отримати 6 моль оптофосфатної кислоти
Ответы
Ответ дал:
0
Ответ:
Ответ на фотографии, удачи
Приложения:

Вас заинтересует
1 год назад
1 год назад
1 год назад
3 года назад
3 года назад
8 лет назад