• Предмет: Алгебра
  • Автор: syndima2010
  • Вопрос задан 2 года назад

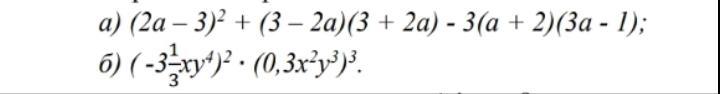
Высчитайте Б) пожалуйста

Приложения:

Ответы

Ответ дал: larisaserova53
0

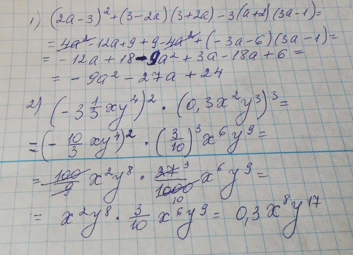
Ответ:

Смотри решение на фото..

Приложения:
Вас заинтересует