• Предмет: Алгебра
  • Автор: 51293
  • Вопрос задан 2 года назад

СРОЧНО!!! Реши систему уравнений: 2y+2x=8 и 2x-2y=0
ПОЖАЛУЙСТА

Ответы

Ответ дал: NNNLLL54
0

Ответ:

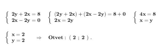
Решаем систему уравнений методом сложения .

Сложим 1 и 2 уравнения .

\left\{\begin{array}{l}\bf 2y+2x=8\\\bf 2x-2y=0\end{array}\right\ \ \left\{\begin{array}{l}\bf (2y+2x)+(2x-2y)=8+0\\\bf 2x=2y\end{array}\right\ \ \left\{\begin{array}{l}\bf 4x=8\\\bf x=y\end{array}\right\\\\\\\left\{\begin{array}{l}\bf x=2\\\bf y=2\end{array}\right\ \ \ \ \Rightarrow \ \ \ \bf Otvet:\ (\ 2\ ;\ 2\ )\ .            

Приложения:
Вас заинтересует