Ответы
Ответ дал:
1
Ответ:
решение смотри на фотографии
Приложения:
Ответ дал:
0
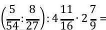
(5/54:8/27):4 11/16 *2 7/9=
=(5/54*27/8):75/16*25/9=
=(5/2*1/8)*16/75*25/9=
=5/16*16/75*25/9=
=1/15*25/9=
=1/3*5/9=
=5/27
=(5/54*27/8):75/16*25/9=
=(5/2*1/8)*16/75*25/9=
=5/16*16/75*25/9=
=1/15*25/9=
=1/3*5/9=
=5/27
Вас заинтересует
1 год назад
1 год назад
2 года назад
2 года назад
3 года назад
3 года назад
8 лет назад