Ответы
                                            Ответ дал: 
                                                                                    
                                        
                                            
                                                
                                                
                                                
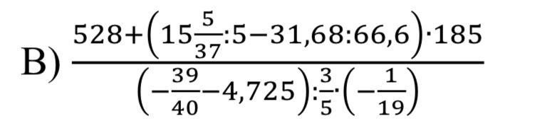
                                                    3
                                                
                                            
                                        
                                    Ответ:
Пошаговое объяснение:
Приложения:
                     
                            
                    1Manka1:
                    Сорян
                
            Вас заинтересует
                
                        1 год назад
                    
                
                        1 год назад
                    
                
                        1 год назад
                    
                
                        1 год назад
                    
                
                        3 года назад
                    
                
                        8 лет назад
                    
                