• Предмет: Математика
  • Автор: adilbaizov99
  • Вопрос задан 2 года назад

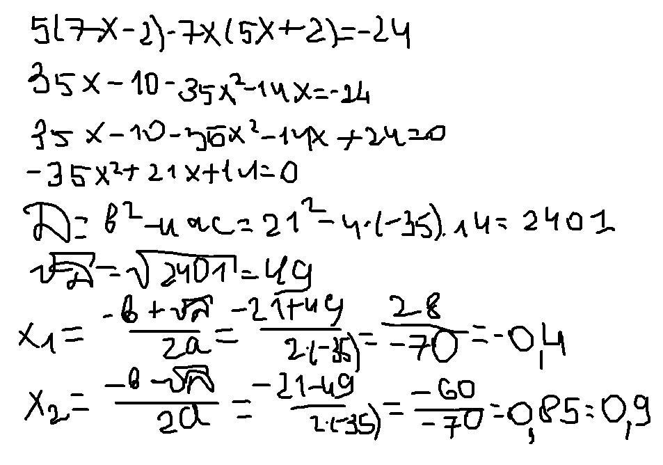
Решите уравнение:5*(7х-2)-7х*(5х+2)=-24
Пожалуйста помогите​

Ответы

Ответ дал: telikmilk
1

Відповідь:

на фото

Покрокове пояснення:

Приложения:

adilbaizov99: это правильно?
telikmilk: да
telikmilk: не переживайте
telikmilk: ещё раз для вас проверю
telikmilk: там где 0.9 округлите до 1
Вас заинтересует