• Предмет: Алгебра
  • Автор: anystars04
  • Вопрос задан 2 года назад

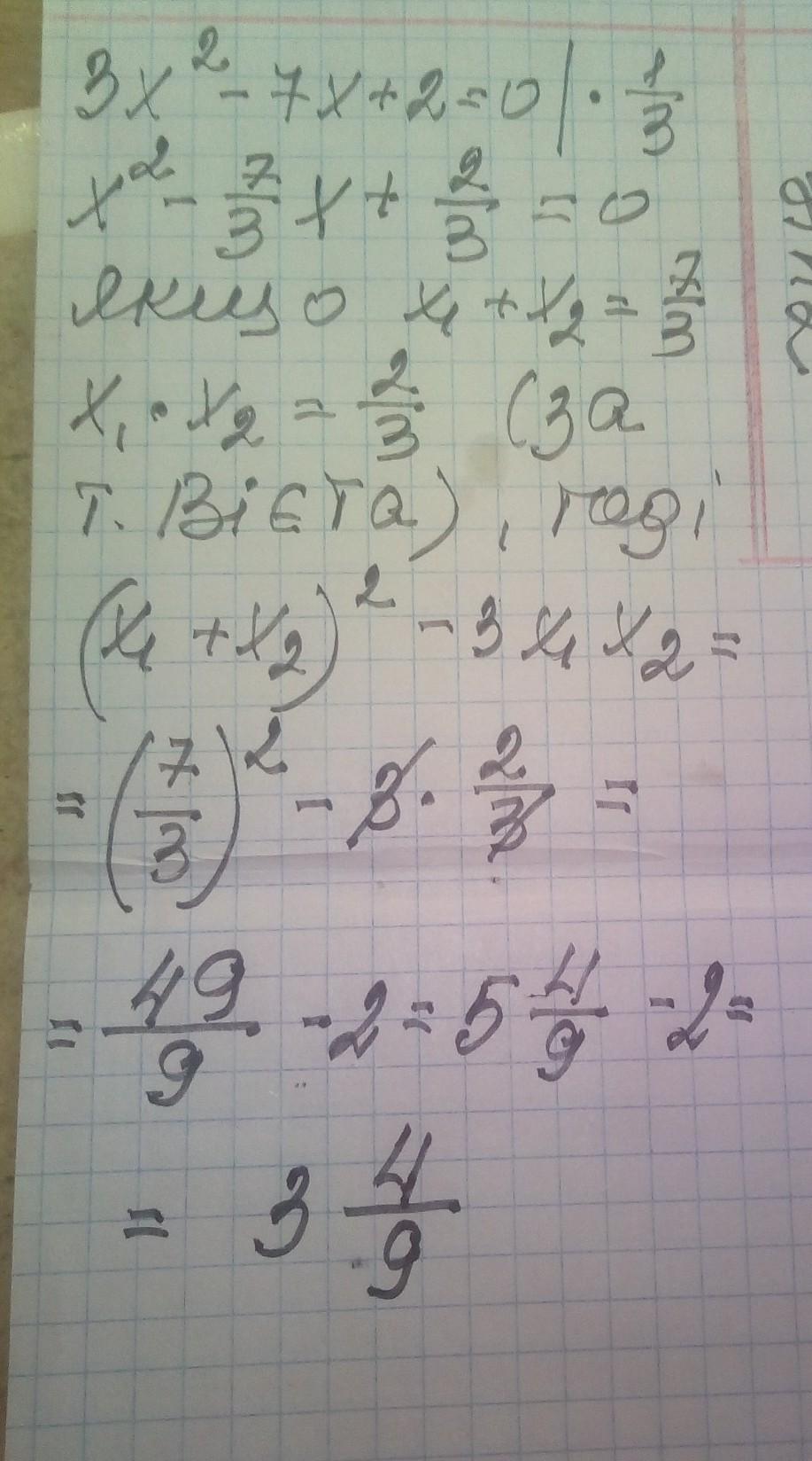
11.Не розв'язуючи рівняння, знайдіть значення виразу (x1 + x2)² - 3x1X2, якщо х, та х2 - корені рівняння: 3x² - 7x + 2 = 0.​

Ответы

Ответ дал: manyny06
0

Ответ:

решение смотри на фотографии

Приложения:
Вас заинтересует