• Предмет: Алгебра
  • Автор: abobus228Fg
  • Вопрос задан 2 года назад

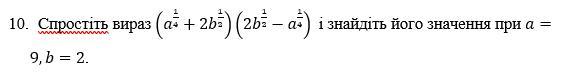
Срочно , помогите пожалуйста!!!

Приложения:

Ответы

Ответ дал: MizoriesKun
1

Смотри.................

Приложения:
Вас заинтересует