• Предмет: Геометрия
  • Автор: Iklg
  • Вопрос задан 1 год назад

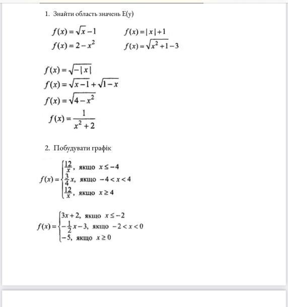
Вирішити перше завдання без побудов, 2 з побудовами

Приложения:

Ответы

Ответ дал: olgaua64
1

Відповідь:

Пояснення:

область значень - всі можливі значення функції, значення змінної у

область значень розглядаємо на області визначення, тобто всіх допустимих значень х

пам'ятаємо, що під коренем може бути лише невідємне число, на нуль ділити не можемо

найменьше значення функції |х| та √х дорівнює

Приложения:

Аноним: Доброго дня.Вы могли ранее видеть или даже сейчас и к тому же в будущем различные рандомные или не очень массовые или не очень отметки.Сделаны они потому что модератор татмих она же татуана ведет себя неправильно.Поэтому есть две новости.Плохая в том что это происходит из-за данного модератора.Хорошая в том что это перестанет происходить как только этот модератор перестанет собственного говоря быть модератором.В ваших силах приблизить этот момент.Спасибо.До новых встреч.
Вас заинтересует