• Предмет: Алгебра
  • Автор: Lilipuzizik
  • Вопрос задан 2 года назад

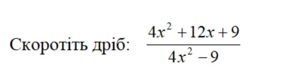
Помогите пожалуйста, скоротить дробь

Приложения:

Ответы

Ответ дал: larisaserova53
1

Ответ:

Смотри решение на фото..

Приложения:
Вас заинтересует