Срочно! Помогите решить задачу!!!
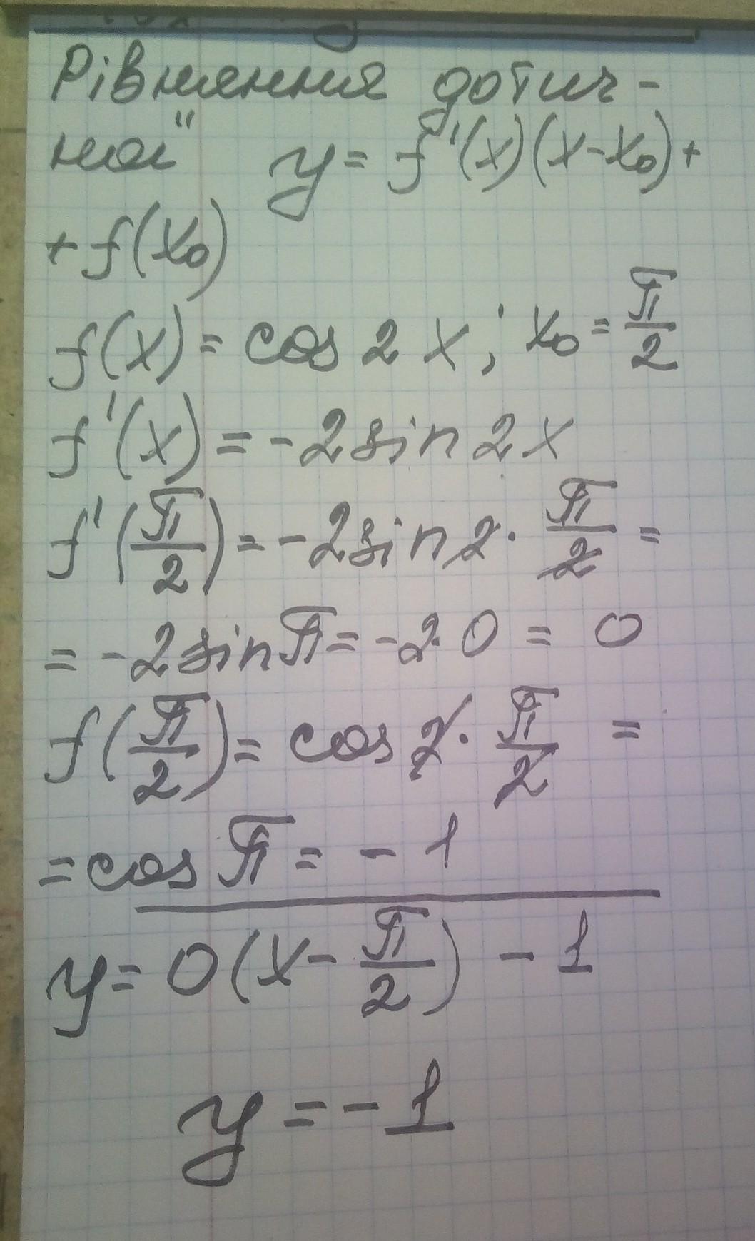
Запишіть рівняння дотичної до графіка функції f(x)=cos2x у точці з абсцисою x0=п/2
Ответы
Ответ дал:
0
Ответ:
решение смотри на фотографии
Приложения:

Вас заинтересует
1 год назад
1 год назад
3 года назад
3 года назад
8 лет назад