• Предмет: Алгебра
  • Автор: viilmy055
  • Вопрос задан 2 года назад

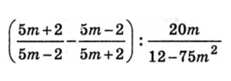
Спростіть вираз...........

Приложения:

Ответы

Ответ дал: kenmamiku
1

Ответ:

Объяснение:

(\frac{5m+2}{5m-2} -\frac{5m-2}{5m+2} ): \frac{20m}{12-75m^{2} }

\frac{(5m+2)^{2} -(5m-2)^{2}\  }{(5m-2)*(5m+2)}  *\frac{12-75^{2} }{20m}

\frac{4*10m}{(5m-2)*(5m+2)} *\frac{3(4-25m^{2}) }{20m}

\frac{40m}{(5m-2)*(5m+2)} * \frac{3(2-5m)*(2+5m)}{20m}

\frac{2}{5m-2} *3*(-(5m-2))

2*3*(-1)

-6

Вас заинтересует