• Предмет: Алгебра
  • Автор: dasanikolajcuk199
  • Вопрос задан 2 года назад

ПОМОГИТЕ РЕШИТЬ ПОЖАЛУЙСТА!!!!!!!!!

Приложения:

Ответы

Ответ дал: daraprelj
1

Ответ:

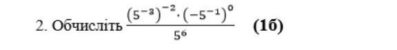
\displaystyle \frac{(5^{-3})^{-2}*(5^{-1})^{0}}{5^6}  = 1

Объяснение:

Теория:
Свойства степеней
\displaystyle (a^b)^c = a^{bc};\\\frac{a^b}{a^c}=a^{b-c} ;\\a^b*a^c=a^{b+c}
Решение:
\displaystyle \frac{(5^{-3})^{-2}*(5^{-1})^{0}}{5^6} =\frac{5^{-3*(-2)}*5^{-1*0}}{5^6} = \frac{5^{6+0}}{5^6} = 5^{6-6} = 5^0 = 1

Вас заинтересует