• Предмет: Алгебра
  • Автор: esminakaraosman15
  • Вопрос задан 2 года назад

помогите пожалуйста, срочно

Приложения:

Ответы

Ответ дал: whysol
0

Ответ:

16(2√3+1)

Объяснение:

Прикрепила ниже

Приложения:
Ответ дал: сок111213
0

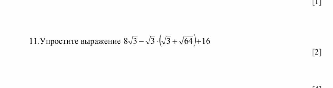
8 \sqrt{3}  -  \sqrt{3} ( \sqrt{3}  +  \sqrt{64} ) + 16 =  \\  = 8 \sqrt{3}  -  \sqrt{3} ( \sqrt{3}  + 8) + 16 =  \\  = 8 \sqrt{3}  - 3  -  8 \sqrt{3}  + 16 = 16 - 3 = 13

Вас заинтересует