• Предмет: Алгебра
  • Автор: esminakaraosman15
  • Вопрос задан 2 года назад

помогите пожалуйста

Приложения:

Ответы

Ответ дал: sangers1959
1

Объяснение:

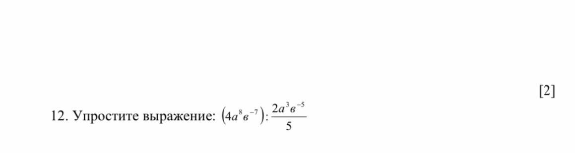
\displaystyle\\(4a^8b^{-7}):\frac{2a^3b^{-5}}{5} =\frac{4a^8}{b^7} :\frac{2a^3}{5b^5} =\frac{4a^8*5b^5}{b^7*2a^3}=\frac{10a^5}{b^2}=10a^5b^{-2}.

Ответ дал: сок111213
0

(4 {a}^{8}  {b}^{ - 7} ) \div  \frac{2a {}^{3}  {b}^{ - 5} }{5}  =  \frac{4 {a}^{8} }{ {b }^{7} }  \div  \frac{2a {}^{3} }{5 {b}^{5} }  =  \frac{4 {a}^{8} \times 5 {b}^{5}  }{ {b}^{7} \times 2 {a}^{3}  }   =  \frac{10 {a}^{5} }{ {b}^{2} }

Вас заинтересует